Boost C++ Libraries

...one of the most highly regarded and expertly designed C++ library projects in the world. Herb Sutter and Andrei Alexandrescu, C++ Coding Standards

Class template fisher_f_distribution
PrevUpHomeNext

Class template fisher_f_distribution

boost::random::fisher_f_distribution

Synopsis

// In header: <boost/random/fisher_f_distribution.hpp>

template<typename RealType = double> 
class fisher_f_distribution {
public:
  // types
  typedef RealType result_type;
  typedef RealType input_type; 

  // member classes/structs/unions

  class param_type {
  public:
    // types
    typedef fisher_f_distribution distribution_type;

    // public member functions
    explicit param_type(RealType = 1.0, RealType = 1.0);
    RealType m() const;
    RealType n() const;

    // friend functions
    template<typename CharT, typename Traits> 
      std::basic_ostream< CharT, Traits > & 
      operator<<(std::basic_ostream< CharT, Traits > &, const param_type &);
    template<typename CharT, typename Traits> 
      std::basic_istream< CharT, Traits > & 
      operator>>(std::basic_istream< CharT, Traits > &, const param_type &);
    bool operator==(const param_type &, const param_type &);
    bool operator!=(const param_type &, const param_type &);
  };

  // public member functions
  explicit fisher_f_distribution(RealType = 1.0, RealType = 1.0);
  explicit fisher_f_distribution(const param_type &);
  template<typename URNG> RealType operator()(URNG &);
  template<typename URNG> 
    RealType operator()(URNG &, const param_type &) const;
  RealType m() const;
  RealType n() const;
  RealType min() const;
  RealType max() const;
  param_type param() const;
  void param(const param_type &);
  void reset();

  // friend functions
  template<typename CharT, typename Traits> 
    std::basic_ostream< CharT, Traits > & 
    operator<<(std::basic_ostream< CharT, Traits > &, 
               const fisher_f_distribution &);
  template<typename CharT, typename Traits> 
    std::basic_istream< CharT, Traits > & 
    operator>>(std::basic_istream< CharT, Traits > &, 
               const fisher_f_distribution &);
  bool operator==(const fisher_f_distribution &, 
                  const fisher_f_distribution &);
  bool operator!=(const fisher_f_distribution &, 
                  const fisher_f_distribution &);
};

Description

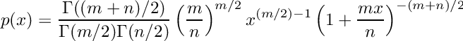
The Fisher F distribution is a real valued distribution with two parameters m and n.

It has .

fisher_f_distribution public member functions

  1. explicit fisher_f_distribution(RealType m = 1.0, RealType n = 1.0);

    Constructs a fisher_f_distribution from its "m" and "n" parameters.

    Requires: m > 0 and n > 0

  2. explicit fisher_f_distribution(const param_type & param);

    Constructs an fisher_f_distribution from its parameters.

  3. template<typename URNG> RealType operator()(URNG & urng);

    Returns a random variate distributed according to the F distribution.

  4. template<typename URNG> 
      RealType operator()(URNG & urng, const param_type & param) const;

    Returns a random variate distributed according to the F distribution with parameters specified by param.

  5. RealType m() const;

    Returns the "m" parameter of the distribution.

  6. RealType n() const;

    Returns the "n" parameter of the distribution.

  7. RealType min() const;

    Returns the smallest value that the distribution can produce.

  8. RealType max() const;

    Returns the largest value that the distribution can produce.

  9. param_type param() const;

    Returns the parameters of the distribution.

  10. void param(const param_type & param);

    Sets the parameters of the distribution.

  11. void reset();

    Effects: Subsequent uses of the distribution do not depend on values produced by any engine prior to invoking reset.

fisher_f_distribution friend functions

  1. template<typename CharT, typename Traits> 
      std::basic_ostream< CharT, Traits > & 
      operator<<(std::basic_ostream< CharT, Traits > & os, 
                 const fisher_f_distribution & fd);

    Writes an fisher_f_distribution to a std::ostream.

  2. template<typename CharT, typename Traits> 
      std::basic_istream< CharT, Traits > & 
      operator>>(std::basic_istream< CharT, Traits > & is, 
                 const fisher_f_distribution & fd);

    Reads an fisher_f_distribution from a std::istream.

  3. bool operator==(const fisher_f_distribution & lhs, 
                    const fisher_f_distribution & rhs);

    Returns true if the two instances of fisher_f_distribution will return identical sequences of values given equal generators.

  4. bool operator!=(const fisher_f_distribution & lhs, 
                    const fisher_f_distribution & rhs);

    Returns true if the two instances of fisher_f_distribution will return different sequences of values given equal generators.


PrevUpHomeNext