Boost C++ Libraries

...one of the most highly regarded and expertly designed C++ library projects in the world. Herb Sutter and Andrei Alexandrescu, C++ Coding Standards

Class template negative_binomial_distribution
PrevUpHomeNext

Class template negative_binomial_distribution

boost::random::negative_binomial_distribution

Synopsis

// In header: <boost/random/negative_binomial_distribution.hpp>

template<typename IntType = int, typename RealType = double> 
class negative_binomial_distribution {
public:
  // types
  typedef IntType  result_type;
  typedef RealType input_type; 

  // member classes/structs/unions

  class param_type {
  public:
    // types
    typedef negative_binomial_distribution distribution_type;

    // public member functions
    explicit param_type(IntType = 1, RealType = 0.5);
    IntType k() const;
    RealType p() const;

    // friend functions
    template<typename CharT, typename Traits> 
      std::basic_ostream< CharT, Traits > & 
      operator<<(std::basic_ostream< CharT, Traits > &, const param_type &);
    template<typename CharT, typename Traits> 
      std::basic_istream< CharT, Traits > & 
      operator>>(std::basic_istream< CharT, Traits > &, param_type &);
    bool operator==(const param_type &, const param_type &);
    bool operator!=(const param_type &, const param_type &);
  };

  // public member functions
  explicit negative_binomial_distribution(IntType = 1, RealType = 0.5);
  explicit negative_binomial_distribution(const param_type &);
  template<typename URNG> IntType operator()(URNG &) const;
  template<typename URNG> IntType operator()(URNG &, const param_type &) const;
  IntType k() const;
  RealType p() const;
  IntType min() const;
  IntType max() const;
  param_type param() const;
  void param(const param_type &);
  void reset();

  // friend functions
  template<typename CharT, typename Traits> 
    std::basic_ostream< CharT, Traits > & 
    operator<<(std::basic_ostream< CharT, Traits > &, 
               const negative_binomial_distribution &);
  template<typename CharT, typename Traits> 
    std::basic_istream< CharT, Traits > & 
    operator>>(std::basic_istream< CharT, Traits > &, 
               negative_binomial_distribution &);
  bool operator==(const negative_binomial_distribution &, 
                  const negative_binomial_distribution &);
  bool operator!=(const negative_binomial_distribution &, 
                  const negative_binomial_distribution &);
};

Description

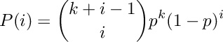
The negative binomial distribution is an integer valued distribution with two parameters, k and p. The distribution produces non-negative values.

The distribution function is .

This implementation uses a gamma-poisson mixture.

negative_binomial_distribution public member functions

  1. explicit negative_binomial_distribution(IntType k = 1, RealType p = 0.5);

    Construct a negative_binomial_distribution object. k and p are the parameters of the distribution.

    Requires: k >=0 && 0 <= p <= 1

  2. explicit negative_binomial_distribution(const param_type & param);

    Construct an negative_binomial_distribution object from the parameters.

  3. template<typename URNG> IntType operator()(URNG & urng) const;

    Returns a random variate distributed according to the negative binomial distribution.

  4. template<typename URNG> 
      IntType operator()(URNG & urng, const param_type & param) const;

    Returns a random variate distributed according to the negative binomial distribution with parameters specified by param.

  5. IntType k() const;

    Returns the k parameter of the distribution.

  6. RealType p() const;

    Returns the p parameter of the distribution.

  7. IntType min() const;

    Returns the smallest value that the distribution can produce.

  8. IntType max() const;

    Returns the largest value that the distribution can produce.

  9. param_type param() const;

    Returns the parameters of the distribution.

  10. void param(const param_type & param);

    Sets parameters of the distribution.

  11. void reset();

    Effects: Subsequent uses of the distribution do not depend on values produced by any engine prior to invoking reset.

negative_binomial_distribution friend functions

  1. template<typename CharT, typename Traits> 
      std::basic_ostream< CharT, Traits > & 
      operator<<(std::basic_ostream< CharT, Traits > & os, 
                 const negative_binomial_distribution & bd);

    Writes the parameters of the distribution to a std::ostream.

  2. template<typename CharT, typename Traits> 
      std::basic_istream< CharT, Traits > & 
      operator>>(std::basic_istream< CharT, Traits > & is, 
                 negative_binomial_distribution & bd);

    Reads the parameters of the distribution from a std::istream.

  3. bool operator==(const negative_binomial_distribution & lhs, 
                    const negative_binomial_distribution & rhs);

    Returns true if the two distributions will produce the same sequence of values, given equal generators.

  4. bool operator!=(const negative_binomial_distribution & lhs, 
                    const negative_binomial_distribution & rhs);

    Returns true if the two distributions could produce different sequences of values, given equal generators.


PrevUpHomeNext